Anti-POL II (RABBIT) Antibody
POL II Antibody
- SPECIFICATION
- CITATIONS
- PROTOCOLS
- BACKGROUND
| Host | Rabbit |
|---|---|
| Conjugate | Unconjugated |
| Target Species | Human |
| Reactivity | Human |
| Clonality | Polyclonal |
Application
| WB, E, I, LCI |
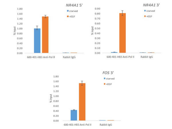
| Application Note | Anti-POL II antibody has been tested in ChIP and ELISA, and is likely suitable for western blotting and immunofluorescence assays. Positive controls used in ChIP were EGF stimulated NR4A1 5', NR4A1 3' and FOS 3'. The negative control was total rabbit IgG. |
| Physical State | Liquid (sterile filtered) |
| Buffer | 0.02 M Potassium Phosphate, 0.15 M Sodium Chloride, pH 7.2 |
| Immunogen | Anti-POL II antibody was prepared from whole rabbit serum produced by repeated immunizations with a synthetic peptide corresponding to the n-terminal portion of human POL II conjugated to Keyhole Limpet Hemocyanin (KLH). |
| Preservative | 0.01% (w/v) Sodium Azide |
| Gene ID | 5430 |
|---|---|
| Other Names | 5430 |
| Purity | This affinity purified antibody is directed against human POL II. This product was affinity purified from monospecific antiserum by immunoaffinity purification. Blast analysis of the sequence of the immunogen shows 100% identity with mouse and Chinese hamster. |
| Storage Condition | Store vial at -20° C prior to opening. Aliquot contents and freeze at -20° C or below for extended storage. Avoid cycles of freezing and thawing. Centrifuge product if not completely clear after standing at room temperature. This product is stable for several weeks at 4° C as an undiluted liquid. Dilute only prior to immediate use. |
| Precautions Note | This product is for research use only and is not intended for therapeutic or diagnostic applications. |
| Name | POLR2A (HGNC:9187) |
|---|---|
| Synonyms | POLR2 |
| Function | Catalytic core component of RNA polymerase II (Pol II), a DNA-dependent RNA polymerase which synthesizes mRNA precursors and many functional non-coding RNAs using the four ribonucleoside triphosphates as substrates (By similarity) (PubMed:23748380, PubMed:27193682, PubMed:30190596, PubMed:9852112). Pol II-mediated transcription cycle proceeds through transcription initiation, transcription elongation and transcription termination stages. During transcription initiation, Pol II pre-initiation complex (PIC) is recruited to DNA promoters, with focused-type promoters containing either the initiator (Inr) element, or the TATA-box found in cell-type specific genes and dispersed-type promoters that often contain hypomethylated CpG islands usually found in housekeeping genes. Once the polymerase has escaped from the promoter it enters the elongation phase during which RNA is actively polymerized, based on complementarity with the template DNA strand. Transcription termination involves the release of the RNA transcript and polymerase from the DNA (By similarity) (PubMed:23748380, PubMed:27193682, PubMed:28108474, PubMed:30190596, PubMed:9852112). Forms Pol II active center together with the second largest subunit POLR2B/RPB2. Appends one nucleotide at a time to the 3' end of the nascent RNA, with POLR2A/RPB1 most likely contributing a Mg(2+)- coordinating DxDGD motif, and POLR2B/RPB2 participating in the coordination of a second Mg(2+) ion and providing lysine residues believed to facilitate Watson-Crick base pairing between the incoming nucleotide and template base. Typically, Mg(2+) ions direct a 5' nucleoside triphosphate to form a phosphodiester bond with the 3' hydroxyl of the preceding nucleotide of the nascent RNA, with the elimination of pyrophosphate. The reversible pyrophosphorolysis can occur at high pyrophosphate concentrations (By similarity) (PubMed:30190596, PubMed:8381534, PubMed:9852112). Can proofread the nascent RNA transcript by means of a 3' -> 5' exonuclease activity. If a ribonucleotide is mis-incorporated, backtracks along the template DNA and cleaves the phosphodiester bond releasing the mis-incorporated 5'- ribonucleotide (By similarity) (PubMed:8381534). Through its unique C- terminal domain (CTD, 52 heptapeptide tandem repeats) serves as a platform for assembly of factors that regulate transcription initiation, elongation and termination. CTD phosphorylation on Ser-5 mediates Pol II promoter escape, whereas phosphorylation on Ser-2 is required for Pol II pause release during transcription elongation and further pre-mRNA processing. Additionally, the regulation of gene expression levels depends on the balance between methylation and acetylation levels of the CTD-lysines. Initiation or early elongation steps of transcription of growth-factor-induced immediate early genes are regulated by the acetylation status of the CTD. Methylation and dimethylation have a repressive effect on target genes expression. Cooperates with mRNA splicing machinery in co-transcriptional 5'-end capping and co-transcriptional splicing of pre-mRNA (By similarity) (PubMed:24207025, PubMed:26124092). |
| Cellular Location | Nucleus. Cytoplasm. Chromosome. Note=Hypophosphorylated form is mainly found in the cytoplasm, while the hyperphosphorylated and active form is nuclear (PubMed:26566685). Co-localizes with kinase SRPK2 and helicase DDX23 at chromatin loci where unscheduled R-loops form (PubMed:28076779). |

Thousands of laboratories across the world have published research that depended on the performance of antibodies from Abcepta to advance their research. Check out links to articles that cite our products in major peer-reviewed journals, organized by research category.
info@abcepta.com, and receive a free "I Love Antibodies" mug.
Provided below are standard protocols that you may find useful for product applications.
Background
Anti-POL II antibody will detect DNA-directed RNA polymerase II subunit RPB1, an enzyme composed of 12 subunits, which initiates the transcription of RNA from DNA, synthesizing many functional non-coding RNAs as well as messenger RNA precursors. POL II encodes a core element of the transcription machinery. Malfunctioning of the Pol II gene can cause diseases such as Cockayne Syndrome B and La Crosse Encephalitis. Anti-POL II Antibody is useful for researchers interested in DNA damage and repair studies.
If you have used an Abcepta product and would like to share how it has performed, please click on the "Submit Review" button and provide the requested information. Our staff will examine and post your review and contact you if needed.
If you have any additional inquiries please email technical services at tech@abcepta.com.





Foundational characteristics of cancer include proliferation, angiogenesis, migration, evasion of apoptosis, and cellular immortality. Find key markers for these cellular processes and antibodies to detect them.
The SUMOplot™ Analysis Program predicts and scores sumoylation sites in your protein. SUMOylation is a post-translational modification involved in various cellular processes, such as nuclear-cytosolic transport, transcriptional regulation, apoptosis, protein stability, response to stress, and progression through the cell cycle.
The Autophagy Receptor Motif Plotter predicts and scores autophagy receptor binding sites in your protein. Identifying proteins connected to this pathway is critical to understanding the role of autophagy in physiological as well as pathological processes such as development, differentiation, neurodegenerative diseases, stress, infection, and cancer.


